© Prof. Dr. Knut Barghorn, Jade Hochschule. Studienort WHV. E-mail: knut.barghorn@jade-hs.de
Bislang sind wir in der Lage, Informationen in Speichern korrekt abzulegen. Wir kennen die Dualzahlen und wissen, wie die wesentlichen Informationen sich binär (dual) darstellen lassen. Nun nähern wir uns langsam an die interne Funktion eines Rechners an. Dabei interessiert nicht so sehr, wie die elektronischen Vorgänge innerhalb eines Rechners ablaufen, sondern vielmehr, wie die interne Logik funktioniert. Wir schauen uns an, wie sich mit einfachen Grundfunktionen komplexe Maschinen aufsetzen lassen. Dazu bedienen wir uns der der klassischen Aussagenlogik. Wir werden die Boolesche Algebra mit den wesentlichen Aussagen kennen lernen.
Wir haben in Zahlensysteme festgestellt, dass die interne Logik von Computern auf einem dualen Zahlensystem basiert. Die Informationen können mit den Werten 0,1 abgelegt und vorgehalten werden.
Um Manipulationen an den Informationen vornehmen zu können, bedarf es Rechengesetzen, die eben auf dieser zweiwertigen Menge funktionieren.
Glücklicherweise existiert eine Logik, die genau für diesen Zweck entwickelt wurde. Die von George Boole (1815 – 1864) 1847 veröffentlichte Abhandlung mit dem Thema "An Investigation of the Laws of Thought" widmet sich genau dieser Problemstellung.
Die vorgestellte Algebra wird mittlerweile nach George Boole auch als Boolesche Algebra bezeichnet. Die Algebra hat vielfältige Anwendungsmöglichkeiten. So können neben mengenalgebraischen Problemen auch Darstellungen zur Aussagenlogik und die algebraische Beschreibung und Manipulation von Schaltkreisen abgedeckt werden.
Drei wesentliche Gebiete sind auch für die Informatik interessant:
Nebenbei
sei noch erwähnt, dass die Algebra von Boole im Laufe der Zeit
weiterentwickelt und ergänzt wurde. Besonderen Anteil daran
hatten John Venn und Charles Peirce
Wir werden im Verlauf dieses Abschnitts auch noch die Herren
Hamilton, de Morgan und Shannon kennen lernen. Letzterer ist für
die Entwicklung der so genannten Schaltalgebra verantwortlich
Die Boolesche Algebra operiert mit wahren (true) und unwahren (false) Aussagen. Da es nur diese zwei Zustände gibt, können wir diese auch als 1 und 0 darstellen.
In der Booleschen Algebra behandelt man die Verknüpfung von binären Aussagen (Wahrheitswerte) durch logische Operatoren, deren Ergebnisse wieder Wahrheitswerte sind.
|
Verknüpfung |
Name |
Schreibweise |
|
nicht a |
Negation |
¬a |
|
a und b |
Konjunktion |
a ∧ b |
|
a oder b |
Disjunktion |
a ∨ b |
|
Wenn a dann b |
Implikation |
a ⇒ b |
|
a genau dann wenn b |
Äquivalenz |
a ⇔ b |
Wenn wir zur Veranschaulichung die Mengenlehre hernehmen, können wir einige Bilder zeichnen. Die Diagramme zu Darstellung heißen Venn-Diagramme.
In Venn-Diagramm werden die Argumenten-Mengen und die Ergebnis-Menge derart zusammengefasst, dass eine einfache Interpretation möglich wird. Die beiden Mengen werden durch unterschiedliche Merkmale charakterisiert:
Die Argumenten-Mengen werden durch einfache Einkreisungen gekennzeichnet, wobei das entsprechende Argument innerhalb der (kreisförmigen) Fläche den Wert "1" annehmen soll.
Die Ergebnis-Menge wird über eine Farb- oder Schattierungsgebung gekennzeichnet, wobei eine "1" z.B. durch eine dunklere Farbe angegeben werden kann.
In der Aussagenlogik ist diese Operation schnell begriffen:
Die Aussage: „Wenn es morgen regnet, gehe ich nicht ins Freibad“ enthält eine Negation. Wenn die Aussage „wenn es morgen regnet“ wahr ist, ist die Aussage „gehe ich ins Freibad“ nicht wahr.
Die
Wahrheitswertetabelle für die Negation (also den Operarator
¬
)
ist schnell aufgestellt: a ¬a 0 1 1 0 In
der Aussagenlogik lässt sich hierfür ebenfalls schnell ein
Beispiel finden:
„Wenn
morgen die Sonne scheint und es wärmer als 20 Grad Celsius ist,
gehe ich ins Freibad“ Hier
kommt die UND – Verknüpfung zum tragen. Die Aussage „gehe
ich ins Freibad“ ist nur dann wahr, wenn sowohl die Aussagen
„die Sonne scheint“ und „es ist wärmer als 20
Grad Celsius“ wahr sind. Beide Bedingungen müssen also
erfüllt sein. Als
Venn-Diagramm dargestellt sieht die Konjunktion folgendermaßen
aus: Alle
Werte, die gleichzeitig der Menge a und der Menge b angehören
sind wahr. Man spricht hier auch von der UND (AND) Verknüpfung.
Die
zugehörige Wahrheitstabelle ist schnell aufgestellt. a b
a ∧ b 0 0 0 0 1 0 1 0 0 1 1 1 Wenn wir diese Wahrheitstabelle
etwas weiter fassen wollen und die Anzahl der zu verknüpfenden
Werte auf eine beliebige Anzahl erhöhen: xN = x1 ∧ x2 ∧
x3 ∧ x4 ∧
….. ∧ xn, dann
ist xN genau dann 0 wenn mindestens ein Element xi den Wert 0 hat. Andersherum
kann die Aussage aber auch formuliert werden: xN ist genau dann 1,
wenn alle xi den Wert 1 annehmen. In
der Aussagenlogik findet sich auch hier schnell ein Beispiel: „Wenn
es morgen schneit oder die Straßen glatt sind, werde ich mit
der Bahn zur Arbeit fahren“ Die
Aussage „mit der Bahn zur Arbeit fahren“ wird wahr, wenn
nur eine der Bedingungen „morgen schneit“ oder „Straßen
glatt“ wahr ist. Es müssen hier also nicht beide
Bedingungen zutreffen, sondern es reicht eine von beiden Bedingungen. Als
Venn-Diagramm kann man die Disjunktion auch darstellen als
Damit
sind alle Werte, die der Menge a angehören genau Teil der Menge
a ∨ b
wie auch die Werte der Menge b. Der einzelne Wert gehört also
der Menge a oder b an. Deshalb spricht man auch von der ODER (OR)
–Verknüpfung. Die Wahrheitstabelle auf die
binären Darstellungen für die Konjunktion sind also
a b
a ∨ b 0 0 0 0 1 1 1 0 1 1 1 1 Wenn wir diese Wahrheitstabelle
etwas weiter fassen wollen und die Anzahl der zu verknüpfenden
Werte auf eine beliebige Anzahl erhöhen: xN = x1 v x2 v x3 v x4 v …..v xn, dann ist xN genau dann 1 wenn
mindestens ein Element xi den Wert 1 hat. Die Implikation wird häufig mit dem Satz "wenn a dann b" beschrieben. In der Aussagenlogik findet sich hier ein Beispiel in dem Satz:"Wenn es regnet, werden die Bäume nass."
Dabei müssen wir jedoch etwas vorsichtig sein, es gilt also auf jeden Fall, dass die Bäume nass werden, wenn es regenet. Es kann aber auch andere Gründe für nasse Bäume geben (Sie werden vielleicht gesprengt).
Es gilt aber immer, dass, wenn es regnet, die Bäume nass werden. Es kann nicht sein, dass die Bäume nicht nass werden. Zur Veranschaulichung sehen wir uns die Wahrheitswertetabelle an:
a b
a ⇒ b 0 0 1 0 1 1 1 0 0 1 1 1
Die Konjunktion

Die Disjunktion

Die Implikation
Die zweite Aussage "Nasse Bäume" kann also wahr sein, ohne dass die erste Aussage "es regnet" wahr ist.
Die Implikation ist also eine Möglichkeit aus einer Aussage eine andere Aussage herzuleiten. Deshalb bezeichnet man
a als Prämisse
und b als Conclusio
Es finden sich in der Literatur auch noch andere "Aussagen" für die Implikation.
Die Implikation läßt sich aus den bereits bekannten Opterationen ableiten.
(a ⇒ b) = (¬a ∨ b)
Hier hören wir schon, um was es gehen soll. Die Gleichheit wird überprüft.
Dann, wenn a und b gleich sind, wird das Ergebnis wahr.
|
a |
b |
a ⇔ b |
|
0 |
0 |
1 |
|
0 |
1 |
0 |
|
1 |
0 |
0 |
|
1 |
1 |
1 |
Aufgabe: Überprüfen Sie anhand von Wahrheitswertetabellen die Aussage: (a ⇒ b) ∧ (b ⇒ a) = (a ⇔ b). Führen Sie den "Beweis" über die Operatoren "∧, ∨ ¬.
Wenn wir schon gerade dabei sind uns besondere Funktionen anzusehen, sollten wir die Antivalenz auch besprechen. Hier geht es eben darum, dass a und b nicht gleich sein sollen, um ein wahres Ergebnis zu erhalten.
Die Funktion wird immer dann wahr, wenn a und b unterschiedlich sind. Sie wird immer unwahr, wenn die Operanden gleich sind.
|
a |
b |
a ≠ b |
|
0 |
0 |
0 |
|
0 |
1 |
1 |
|
1 |
0 |
1 |
|
1 |
1 |
0 |
Diese Funktion wird Ihnen in der Informatik ebenfalls immer wieder begegnen. Sie werden schon in einem der nächsten Kapitel eine Anwendug dieser Funktion erleben.
Man bezeichnet diese Funktion auch als die Boolesche XOR - Operation. XOR steht dabei für "Exklusives Oder". Sie merken, dass es sich wohl um eine "Oder"-Funktion handelt, aus der etwas ausgeschlossen wird.
Der Ausschluss liegt in der Situation a=1, b=1. Hier soll, anders als zur echten "Oder"-Funktion das Ergebnis nicht wahr werden.
So spricht man hier auch von "Entweder-Oder"-Funktion.
Die gebräuchlichen Zeichen dafür sind
Auch diese Funktion läßt sich zurückführen auf eine Funktion mit den Grundoperatoren.
a XOR b = (¬a ∧ b) ∨ (a ∧ ¬b)
Aufgabe: Welche Funktion ergibt sich aus der Verknüpfung (¬a ∧ ¬b) ∨ (a ∧ b) ?
Eine Algebra wird durch Ihre Wertemenge, durch Ihre Operationen auf diese Wertemenge und die dazugehörigen Rechengesetze bestimmt.
Bei der Booleschen Algebra ist die Menge der Werte zweiwertig. Das heißt, wir können die Wertemenge als 0,1 angeben.
Die Operationen auf der Wertemenge sind ¬, ∧ , ∨ .
Begriffserklärungen: Eine Operation setzt sich zusammen aus dem Operator, der angibt, welche Operation ausgeführt wird und dem Operanden, auf den sich die Operation bezieht.
Die einfachste Operation ist also eine Operation auf einem Operanden mit einem einstelligen Operator, z.B. ¬ a. Man spricht hier auch von einer unitären Operation.
Es geht natürlich auch komplizierter: Eine Operation a ∧ b entspricht einer binären Operation.
Die Boolsche Algebra ist mathematisch eine Menge. Daraus folgt, dass es einige Theoreme gibt:
a ∧ 0 =0
Dahinter steckt nichts anderes, als die Aussage, dass egal welchen Wert a annimmt, die AND-Verknüpfung mit einer unwahren Aussage „0“ immer ein unwahres Ergebnis erzeugt.
a ∨ 0 =a
Die OR-Verknüpfung von einem Wert a mit einer unwahren Aussage „0“ nimmt immer das Ergebnis a an.
a ∧ 1 = a
Sie sehen, dass die AND-Verknüpfung zwischen a und einem wahren Ergebnis „1“ immer den Wert a annimmt, egal welchen Wert a hat.
a ∨ 1 = 1
Die OR-Verknüpfung von einem Wert a mit dem wahren Ergebnis „1“ nimmt immer den Wert „1“ (wahr) an.
¬ ( ¬ a) = a
Wenn ich in der Ungangsprache die doppelte Verneinung benutze, lande ich ebenfalls bei der Aussage „ja“. Die zweifache Anwendung eines NOT-Operators auf einen Operanden hebt sich auf.
Beispiel: „Das ist nicht unwahr“ ist eine Aussage mit doppelter Verneinung. Die äquivalente Aussage ist: „Das ist wahr“.
a ∧ a = a
a ∨ a = a
Wenn ich zwei gleiche Werte miteinander Verknüpfe (durch AND oder OR) erhalte ich den Wert als Ergebnis.
Beispiel aus der Aussagelogik:
„Gestern schien die Sonne und gestern schien die Sonne“ ist gleichbedeutend mit der Aussage „Gestern schien die Sonne“
„Gestern schien die Sonne oder gestern schien die Sonne“ ist gleichbedeutend mit der Aussage „Gestern schien die Sonne“
a ∧ ( ¬ a) = 0
Hier sehen Sie schnell, dass das Gesetzt sinnvoll ist.
a ∨ ( ¬ a) = 1
Schauen Sie wieder in die Wahrheitstabellen oben und Sie werden feststellen, dass auch dieses Gesetzt korrekt ist.
a ∨ b = b ∨ a
a ∧ b = b ∧ a
Bei der Verknüpfung mit AND, wie auch bei der Verknüpfung mit OR spielt die Reihenfolge der Operanden keine Rolle.
(a ∨ b) ∨ c = a ∨ (b ∨ c)
(a ∧ b) ∧ c = a ∧ (b ∧ c)
Bei Verknüpfungen einer “Art” (AND oder OR) spielt die Reihenfolge der Anwendung der Operanden keine Rolle. Eine Klammerung ist also überflüssig.
a ∧ (b ∨ c ) = (a ∧ b) ∨ (a ∧ c)
Der Ausdruck a ∧ (b ∨ c) ist genau dann wahr, wenn a wahr ist und einer der beiden Operanden b oder c wahr sind. Der Ausdruck (a ∧ b) ∨ (a ∧ c) ist genau dann wahr, wenn einer der Klammerausdrücke wahr ist. Entweder muss (a ∧ b) wahr sein, oder (a ∧ c). Einer der Klammerausdrücke kann aber nur dann wahr werden, wenn a wahr ist und entweder b oder c auch wahr sind.
a ∨ (b ∧ c) = (a ∨ b) ∧ (a ∨ c)
Aufgabe:Stellen Sie einen ähnlichen „Beweis“ für das zweite Distributivgesetz auf. Hinweis: Überlegen Sie erst, wann der Ausdruck vor dem Gleichheitszeichen unwahr wird.
Nun wollen wir uns noch mit Kürzungsregeln beschäftigen. Bei der Umstellung nach diesen Regeln werden Sie möglicherweise immer die Möglichkeit haben, die Formeln durch einfaches kürzen zu vereinfachen.
1) a ∨ (a ∧ b) = a
2) a ∧ (a ∨ b) = a
3) a ∨ ( ¬ a ∧ b) = a ∨ b
Beweis: a ∨ ( ¬ a ∧ b) lässt sich nach dem Distributivgesetz schreiben als :
(a ∨ ¬ a) ∧ (a ∨ b). Nach dem Komplementgesetz ist (a ∨ ¬ a) = 1
1 ∧ (a ∨ b) = (a ∨ b) nach dem Einsgesetz. q e d!
4) a ∧ ( ¬ a ∨ b) = a ∧ b
Hier gehen wir im Prinzip genauso vor: a ∧ ( ¬ a ∨ b) = (a ∧ ¬ a) ∨ (a ∧ b) = 0 ∨ (a ∧ b) = (a ∧ b)
5) (a ∧ b) ∨ (a ∧ ¬ b) = a
Beweis : (a ∧ b) ∨ (a ∧ ¬ b) lässt sich nach dem Distributivgesetz schreiben als:
a ∧ (b ∨ ¬ b ) Nach dem Komplementgesetz ist (b ∨ ¬ b) =1 also
a ∧ 1 nach dem Eins-Gesetz ist a ∧ 1 =a. Was zu beweisen war.
6) (a ∨ b) ∧ (a ∨ ¬ b) = a
Beweis: (a ∨ b) ∧ (a ∨ ¬ b) lässt sich auch schreiben als a ∨ (b ∧ ¬ b). (Distributivgesetz)
a ∨ (b ∧ ¬ b) ist nach Anwendung des Komplementgesetzes a ∨ 0. Diese ist aber nach dem Null-Gesetz a ∨ 0 =a
Hausaufgabe: Zeigen Sie unter Anwendung der Gesetze, dass die Kürzungsregeln 1+2 richtig sind. Kleiner Trick: Manchmal muss man erst etwas erweitern, damit alles gut wird.
Augustus de Morgan lebte 1806-1871 als englischer Mathematiker und ein Freund von Charles Babbage. Er zeigte, dass jede Konjunktion durch eine Disjunktion (und umgekehrt) ersetzt werden kann. Er erweiterte damit die von Boole aufgestellte Logik um eine entscheidende Erkenntnis .
¬ (a ∧ b) = ( ¬ a ∨ ¬ b)
¬ (a ∨ b) = ( ¬ a ∧ ¬ b)
Claude Shannon (1916-2001) verallgemeinerte diese Regel von de Morgan und zeigte, dass die Inversion eines jeden Ausdrucks, sofern er nur mittels der Operatoren ∧ , ∨ und ¬ (d.h. Konjunktion, Disjunktion und Negation) gebildet wurde, erreicht werden, indem man ∧ und ∨ vertauscht und jedes Literal negiert.
Das klingt ziemlich kompliziert, die Aussage kann aber auch ausgedrückt werden als:
Der invertierte Wert einer Booleschen Funktion ist gleich dem Wert, den diese Funktion liefert, wenn alle Operanden und Operatoren invertiert werden.
Beispiel: ¬ (a ∧ b ∨ c ∧ ¬ d) = ( ¬ a ∨ ¬ b ∧ ¬ c ∨ d)
Aufgabe zum Mitdenken: Bitte rechnen Sie das mal ein einem einfachen Beispiel nach: > (¬a ∧ ¬b) = ¬(a ∨ b) , indem Sie die Wahrheitstabellen für diese Aussagen aufstellen.
Nun haben wir die einzelnen Gesetze kennen gelernt und können damit umgehen. Zur besseren Übersicht hier noch einmal die Gesetze zusammengefasst in einer Tabelle.
|
Name |
Regel 1 |
Regel 2 |
|
Null Gesetz |
a ∧ 0 =0 |
a ∨ 0 = a |
|
Eins Gesetz |
a ∧ 1 = a |
a ∨ 1 = 1 |
|
Doppelte Negation |
¬(¬a) = a |
|
|
Idempotenzgesetz |
a ∧ a = a |
a ∨ a = a |
|
Komplementgesetz |
a ∧ (¬a) = 0 |
a ∨ (¬a) = 1 |
|
Kommutativgesetz |
a ∧ b = b ∧ a |
a ∨ b = b ∨ a |
|
Assoziativgesetz |
(a ∧ b) ∧ c = a ∧ (b ∧ c) |
(a ∨ b) ∨ c = a ∨ (b ∨ c) |
|
Distributivgesetz |
a ∧ (b ∨ c) = (a ∧ b) ∨ (a ∧ c) |
a ∨ (b ∧ c) = (a ∨ b) ∧ (a ∨ c) |
|
Kürzungsregeln |
a ∧ (a ∨ b) = a a ∧ (¬a ∨ b) = a ∧ b (a ∧ b) ∨ (a ∧ ¬b) = a |
a ∨ (a ∧ b) = a a ∨ (¬a ∧ b) = a ∨ b (a ∨ b) ∧ (a ∨ ¬b) = a |
|
De Morgan Gesetze |
¬ (a ∧ b) = (¬a ∨ ¬b) |
¬ (a ∨ b) = (¬a ∧ ¬b) |
|
Inversionsgesetz von Shannon |
Ohne Beispiel |
Ohne Beispiel |
Nun haben wir begriffen, dass es in der Booleschen Algebra die Verknüpfungen UND,OR,NOT gibt. Wir kennen auch die Wahrheitswertetabelle dieser Verknüpfungen.
Wenn wir eine Wahrheitswertetabelle aufstellen, die alle verschiedenen Wahrheitswertekombinationen enthält, werden wir feststellen, dass es 16 Möglichkeiten gibt.
|
a |
b |
F1 |
F2 |
F3 |
F4 |
F5 |
F6 |
F7 |
F8 |
F9 |
F10 |
F11 |
F12 |
F13 |
F14 |
F15 |
F16 |
|
0 |
0 |
0 |
0 |
0 |
0 |
0 |
0 |
0 |
0 |
1 |
1 |
1 |
1 |
1 |
1 |
1 |
1 |
|
0 |
1 |
0 |
0 |
0 |
0 |
1 |
1 |
1 |
1 |
0 |
0 |
0 |
0 |
1 |
1 |
1 |
1 |
|
1 |
0 |
0 |
0 |
1 |
1 |
0 |
0 |
1 |
1 |
0 |
0 |
1 |
1 |
0 |
0 |
1 |
1 |
|
1 |
1 |
0 |
1 |
0 |
1 |
0 |
1 |
0 |
1 |
0 |
1 |
0 |
1 |
0 |
1 |
0 |
1 |
Wenn wir nun sagen, die Verknüpfungen seien jeweils eine Funktion, dann haben wir 16 verschiedene Funktionen. Die Funktionen haben natürlich alle einen Namen, den ich Ihnen hier mit auf den Weg geben möchte.
|
Funktion |
Name |
Schreibweise |
|
F1 |
Nullfunktion |
0 |
|
F2 |
UND (AND) |
a ∧ b |
|
F3 |
Negation der Implikation |
¬ (a ⇒ b) |
|
F4 |
Identität a |
a |
|
F5 |
Negation der Implikation |
¬ (b ⇒ a) |
|
F6 |
Identität b |
B |
|
F7 |
Exklusives ODER (XOR) |
(a ⊕ b) (oder auch (a xor b) ) |
|
F8 |
ODER (OR) |
a ∨ b |
|
F9 |
NICHT ODER (NOR) |
¬ (a ∨ b) |
|
F10 |
Äquivalenz (NXOR) |
a ⇔ b |
|
F11 |
Negation von b |
¬b |
|
F12 |
Implikation |
b ⇒ a |
|
F13 |
Negation von a |
¬a |
|
F14 |
Implikation |
a ⇒ b |
|
F15 |
NICHT UND (NAND) |
¬ (a ∧ b) |
|
F16 |
Einsfunktion |
1 |
Um einige der Funktionen werden wir uns nun ganz speziell kümmern, da sie für Schaltungen immer wieder benötigt werden und Ihnen daher sicherlich mal wieder über den Weg laufen werden.
Nun haben wir begriffen, dass es in der Booleschen Algebra verschiedene Operationen gibt. Diese lassen sich natürlich auch durch Schalter darstellen. Hier seien nun die wichtigsten Funktionen dargestellt abgebildet.
Wenn Sie beispielsweise eine AND – Funktion in einer Schaltung darstellen wollen, können Sie dieses sich am Besten durch einen Stromfluss klarmachen:

Die Lampe soll genau dann leuchten (das Ergebnis true (1) sein), wenn beide Schalter den Wert true annehmen (also beide Schalter geschlossen sind. Dazu werden die beiden Schalter hintereinander (in Reihe) geschaltet.
Wenn einer der Schalter geöffnet („false) ist, leuchtet die Lampe nicht. Das Ergebnis wird „false“.

Bei einer OR-Funktion werden die Schalter nicht in Reihe, sondern parallel geschaltet. Dadurch wird erreicht, dass die Wahrheitswertetabelle der OR-Funktion bei den verschiedenen Schalterstellungen stimmt.
Bei beiden geschlossenen Schaltern leuchtet die Lampe, das Ergebnis wird „true“.

Aber auch bei einem geöffneten Schalter bleibt der Stromkreis geschlossen. Das Ergebnis ist ebenfalls wieder „true“.

Die Negation einer Aussage wird in der Schaltalgebra durch die Änderung der Schalterstellung umgesetzt, ein geschlossener Schalter wird ein geöffneter, ein offener Schalter wird geschlossen.
Da sich jeder komplexe logische Ausdruck auf die elementaren Verknüpfungen elementarer Ausdrücke zurückführen lässt, kann dementsprechend auch jeder noch so komplexe logische Ausdruck durch eine entsprechende Schaltung realisiert werden. Da komplexere Schaltungen in dieser Darstellungsart sehr unübersichtlich werden würden, hat man für die verschiedenen Booleschen Funktionen Schaltsymbole eingeführt.
Leider unterscheiden sich die Schaltsymbole in der europäischen und amerikanische Darstellung etwas. In der Übersicht sehen Sie die Darstellung nach DIN (nach 1976, davor sahen auch hierzulande die Symbole etwas anders aus) und der Darstellung nach IEEE.
Diese Symbole nennt man logische Gatter.
|
|
DIN 40900 |
IEEE |
|
NOT |
|
|
|
AND |
|
|
|
OR |
|
|
|
XOR |
|
|
|
NAND |
|
|
|
NOR |
|
|
|
NXOR |
|
|
Nun wollen wir ein Beispiel für eine Schaltung mit den neuen Schaltsymbolen darstellen.
Danach werden wir versuchen, die Darstellung zu vereinfachen. Dazu werden wir wieder die Gesetze, die wir bereits kennen gelernt haben, heranziehen.
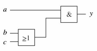
Nehmen wir uns ein erstes Beispiel einer Realisierung einer Booleschen Verknüpfung vor:
Gegeben sei die Verknüpfung
a ∧ (b ∨ c) = y
Dies können wir mit den logischen Gattern in einem Schaltnetz darstellen.

Beispiel:
Wir haben den Ausdruck (a ∧ b) ∨ (a ∧ c) der sich als Schaltung darstellen würde als

Nach Anwendung des Distributivgesetzes: (a ∧ b) ∨ (a ∧ c) = a ∧ (b ∨ c) kann die Schaltung auch dargestellt werden als

Der Vorteil ist klar ersichtlich: Es werden nicht mehr drei, sondern nur noch zwei Gatter benötigt.
Wie kommt man nun auf die Zeichnung? In der Praxis geht man folgendermaßen vor:
Wenn Sie jetzt aufgepasst haben, werden Sie merken, dass uns die Boolesche Normalform noch gar nicht bekannt ist. Deshalb folgt nun ein kleiner Einschub.
Mit Hilfe des Theorems der Booleschen Normalform kann man aus einer Wahrheitswertetabelle einer Booleschen Funktion einen Booleschen Ausdruck konstruieren. Die Schaltfunktion wird dabei ausschließlich durch die drei Verknüpfungen AND, OR, NOT ausgedrückt.
Das Entstehen einer disjunktiven Normalform erläutert man ideal an einem Beispiel.
Wir nehmen eine Wahrheitswertetabelle mit einer Verknüpfung von drei Operanden:
|
a |
b |
c |
f(a,b,c) |
|
0 |
0 |
0 |
0 |
|
0 |
0 |
1 |
1 |
|
0 |
1 |
0 |
0 |
|
0 |
1 |
1 |
0 |
|
1 |
0 |
0 |
1 |
|
1 |
0 |
1 |
0 |
|
1 |
1 |
0 |
0 |
|
1 |
1 |
1 |
1 |
Gesucht wird nun ein Boolescher Ausdruck, der genau dieser Wahrheitswertetabelle entspricht.
Dazu bedient man sich der Gesetzmäßigkeit der Bildung von disjunktiven Normalformen. Die Bildung der disjunktiven Normalform funktioniert wie folgt.
Ich nehme jede Zeile mit dem Eintrag 1 in der Ergebnistabelle und bilde eine Konjunktion, die alle Variablen der Funktion verknüpft. Variablen, die in der Zeile mit 1 belegt sind, werden dabei nicht negiert und Variablen, die mit 0 belegt sind, werden negiert.
Das hört sich sehr kompliziert ist, ist es aber gar nicht:
Die Zeilen 2, 5 und 8 enthalten bei Ergebnis eine 1.
Jetzt verknüpfe ich die Variablen a,b,c durch eine Konjunktion. Dabei negiere ich die Variablen, bei denen in der entsprechenden Zeile eine 0 steht.
Beispiel für Zeile 2 : ( ¬ a ∧ ¬ b ∧ c). Die so gebildeten Terme werden Minterme genannt.
Das mache ich für jede Zeile mit einer 1 in der Ergebnisspalte. Die einzelnen Zeilenergebnisse verknüpfe ich danach durch eine Disjunktion
( ¬ a ∧ ¬ b ∧ c) ∨ (a ∧ ¬ b ∧ ¬ c) ∨ (a ∧ b ∧ c) = f(a,b,c).
Damit die die erforderlich Schaltung für das obige Problem bereits aufgestellt.
Auch die Bildung der konjunktiven Normalform führt zum Ziel.
Die KNF wird sehr ähnlich gebildet. Hier werden die Zeilen mit dem Eintrag 1 in der Ergebnisspalte ignoriert. Es werden dafür die Zeilen mit dem Eintrag 0 in der Resultatspalte herangezogen. Die Variablen mit einem Eintrag 0 werden nicht negiert, die Variablen mit einem Eintrag 1 werden negiert. Die nach dieser Methode gebildeten Terme heißen Maxterme.
|
a |
b |
c |
f(a,b,c) |
Maxterme |
|
0 |
0 |
0 |
0 |
a ∨ b ∨ c |
|
0 |
0 |
1 |
1 |
|
|
0 |
1 |
0 |
0 |
a ∨ ¬ b ∨ c |
|
0 |
1 |
1 |
0 |
a ∨ ¬ b ∨ ¬ c |
|
1 |
0 |
0 |
1 |
|
|
1 |
0 |
1 |
0 |
¬ a ∨ b ∨ ¬ c |
|
1 |
1 |
0 |
0 |
¬ a ∨ ¬ b ∨ c |
|
1 |
1 |
1 |
1 |
|
Die Maxterme werden nun über Konjunktionen verbunden:
( a ∨ b ∨ c)
∧ ( a ∨ ¬ b ∨ c)
∧ ( a ∨ ¬ b ∨ ¬ c)
∧ (¬ a ∨ b ∨ ¬ c)
∧ (¬ a ∨ ¬ b ∨ c)
Für die Bildung solcher Normalformen gibt es auch systematisierte Verfahren (z.B. Karnaugh Veitch Diagramme). Auf diese wollen gleich kurz eingehen eingehen.
Um nun zu einer Schaltung zu kommen, sollten Sie den erhaltenen Booleschen Ausdruck aber noch etwas vereinfachen.
Das können Sie gerne zu Hause einmal machen, um Übung in der Umformung solcher Terme zu bekommen.
Wenn wir einen Ausdruck vorliegen haben, ist manchmal sehr schwer zu sehen, ob dieser noch vereinfacht werden kann.
Das K-V-Diagramm bietet hier eine übersichtliche und schnelle Hilfe.
Die Vorgehensweise nach Karnaugh und Veitch ist grafisch orientiert und bietet einem eigentlich nur mehr Übersicht, als es die vielen Terme nach der Ermittlung von Normalformen es tun.
Allerdings muss man sagen, dass die K-V-Diagramme bei mehr als 4 Variabeln auch nicht mehr übersichtlich sind und daher dort kaum verwendet werden. Da gibt es dann wieder andere Verfahren, auf die wir hier nicht eingehen werden.
Man könnte nun eine Menge Mathematik betreiben zu zeigen, warum die K-V-Diagramme so gut funktionieren. Wir wollen und das ersparen und eher die Verwendung der K-V-Diagramme erlernen.
Nur soviel sei gesagt:"Dadurch, dass benachbarte Felder sich immer nur in einer Stelle unterscheiden, funktioniert es überhaupt".
Noch einen weiteren Satz: "Für die Verwendung benötigt man die disjunktive Normalform".
Gut klarmachen kann man sich die Anwendung eines Vorgangs immer genau dann, wenn man den Vorgang anwendet..... Es folgt also ein Beispiel:
Wir nehmen eine Lampe an, die bei folgender Schaltung leuchtet:
| C | B | A | Lampe |
|---|---|---|---|
| 0 | 0 | 0 | 1 |
| 0 | 0 | 1 | 0 |
| 0 | 1 | 0 | 1 |
| 0 | 1 | 1 | 1 |
| 1 | 0 | 0 | 1 |
| 1 | 0 | 1 | 0 |
| 1 | 1 | 0 | 1 |
| 1 | 1 | 1 | 1 |
Die disjunktive Normalform ist dazu schnell aufgestellt:
( ¬ a ∧ ¬ b ∧ ¬ c) ∨ ( ¬ a ∧ b ∧ ¬ c) ∨ (a ∧ b ∧ ¬ c) ∨ ( ¬ a ∧ ¬ b ∧ c) ∨ ( ¬ a ∧ b ∧ c) ∨ (a ∧ b ∧ c) = f(a,b,c).
Diese Funktion ist noch etwas unbequem gross. Wir wollen sie nun vereinfachen. Entweder rechnen Sie nun mit Hilfe der Rechengesetze der Booleschen Algebra, oder sie benutzen ein K-V-Diagramm.
Wir entscheiden uns für das K-V-Diagramm.
Wir nehmen nun einfach die Minterme her und setzen in eine vorbereitete Matrix an den richtigen Stellen eine 1.
| a | a | ¬a | ¬a | |
| b | 1 | 1 | 1 | 1 |
| ¬b | 0 | 0 | 1 | 1 |
| c | ¬c | ¬c | c |
Wie man nun sehr deutlich sieht, stehen einige Einsen in Reihe nebeneinander oder untereinander.
Blöcke von 2, 4, 8 oder allgemein kn Einsen lassen sich zusammenfassen. n ist die Anzahl der Variablen.
Hier lassen sich also zwei Blöcke bilden. Die Einsen in der Zeile mit dem b
Der Block von 4 Einsen bei ¬a.
Die obige Funktion kann also mit ¬a ∨ b recht schnell ausgedückt werden.
Die haben sich das komplizierte Umstellen und Rechnen erspart.
Sie sollten aber bitte zu Hause einmal nachrechnen, ob ich auch alles richtig gemacht habe.
Um gleich zu sehen, ob Sie es verstanden haben, folgt ein weiteres Beispiel. Diesmal werden wir vier Variabeln einfliessen lassen.
Nehmen wir an, wir haben folgendes K-V-Diagramm ausgefüllt vorliegen:
| a | a | ¬a | ¬a | ||
| b | 0 | 0 | 0 | 0 | ¬d |
| b | 1 | 0 | 0 | 0 | d |
| ¬b | 1 | 1 | 1 | 1 | d |
| ¬b | 0 | 0 | 0 | 0 | ¬d |
| c | ¬c | ¬c | c |
Hier haben wir einen Block von Einsen in der Reihe ¬b und d. Damit ist ein Term bestimmt.
Einen anderen Block haben wir bei a und c und d vorliegen. Damit läßt sich unsere gesuchte Funktion ausdrücken als:
( ¬ b ∧ d) ∨ (a ∧ c ∧ d) = f (a,b,c,d)
Sie sehen, das Vorgehen ist recht schnell und einfach. Sie müssen lediglich beachten, dass Sie die richtigen Diagramme zur Hand haben.
Es fehlt Ihnen nun noch das Diagramm für zwei Variabeln. Hier ist es:
| a | ¬a | |
| b | ||
| ¬b |
Wir haben bereits gesehen, dass die Grundrechenarten in Dualen Zahlensystem sich alle auf das Addieren zurückführen lassen. Nun wollen wir uns ansehen, wie ein Rechner eigentlich intern rechnet. Wir bauen dazu ein Schaltbild für einen Addierer auf.
Zunächst stellen wir die Wahrheitswertetabelle für das Addieren auf. Bei Addieren müssen wir aber berücksichtigen, dass wir Überträge (das so genannte Carry-Bit) haben. Wir haben also zwei Wahrheitswertetabellen zu berücksichtigen.
|
a |
b |
F(a,b) |
Carry |
|
0 |
0 |
0 |
0 |
|
1 |
0 |
1 |
0 |
|
0 |
1 |
1 |
0 |
|
1 |
1 |
0 |
1 |
Aus der Tabelle der möglichen Funktionen unter Kapitel 2.5 erkennen wir sehr schnell, dass wir die Funktion F7 (XOR) für das Resultat benötigen. Den Übertrag decken wir über die Funktion AND ab.
Damit ist die Schaltfunktion eines Halbaddierer bereits fertig:

Wenn ich aber richtig addieren möchte, muss ich den Übertrag des vorangegangenen Schrittes mitnehmen und als weiteren Eingangswert spezifizieren.
Die Schaltfunktion wird dadurch aber nur unwesentlich komplizierter.

Wir erinnern uns, dass wir die Subtraktion auf eine Addition mit dem Zweierkomplement zurückführen können. Damit ist dieses Problem also auch schon gelöst.
Die Multiplikation und Division lassen sich zwar auch auf die Addition zurückführen, aber dazu braucht es noch eine weitere Einheit, nämlich so genannte Schieberegister, auf die wir hier aber nicht weiter eingehen wollen